√画像をダウンロード hZ Jo[ ¤¢ 326826
You also get free access to Scribd!315 f g h ` _ k l \ h l j m ^ h \ _ i h t e Z j k d Z b k l h j b y g Z g _ f k d b b t e Z j k d b _ a b d K i h j _ ^ ^ h k l h \ _ j g b ^ Z g g b _ i h qH i b k Z g b _ d m j k Z SP16 I j h f u r e _ g g u _ j Z a t _ f u ;
Kale Mono Free Font On Behance
"hZ Jo[ ¤¢
"hZ Jo[ ¤¢-Links with this icon indicate that you are leaving the CDC website The Centers for Disease Control and Prevention (CDC) cannot attest to the accuracy of a nonfederal website Linking to a nonfederal website does not constitute an endorsement by CDC or any of its employees of the sponsors or the information and products presented on the websiteI j h n _ k k b h g Z e v g u c i Z d _ l,



Typemates Resonay
H j Z g b a Z p b y H t _ ^ b g _ g g u o G Z p b c A /75/1010± S /21/759 Генеральная Ассамблея Совет БезопасностиM i h l j _ e y _ f u _ h h a g Z q _ g b y b b a e h ` _ g b _ f Z l _ j b Z e Z \ g Z k l h y s _ f b a ^ Z g b b g _ h a g Z q Z x l \ u jÁ ¾ ¤ ñ v u n j V y » Ç W M V b u O W ð z O O u r O j } É ã æ y c A y X þ ( n q Q } 9 u v I ¸ W ¶ & Â ¤=RRP ¥ v ¢ è b j } r u z \ ê y \ Ø z F õ k n j } h y o Y v
A stable and reproducible superconductivity transition between 80 and 93 K has been unambiguously observed both resistively and magnetically in a new YBaCuO compound system at ambient pressure An estimated upper critical field ${\mathrm{H}}_{\mathrm{c}2}$(0) between 80 and 180 T was obtainedJ Z a j Z h l \ Z g _ g Z i j b d h g l m j g b y m q Z k l t d g Z f b g Z " K \ ? If you got to ask you can't afford it Stands for Zebra JobThis is when two girls (one black and one white) give a hand job with their fingers interlocked, this becoming black and white stripped like a zebra
"Izzo (HOVA)" (often referred to as "H to the Izzo") is the first single released by JayZ from his sixth album The Blueprint It is among his most popular singles This was the second song released off The Blueprint, after the diss track "Takeover", but the lead single from it The song reached number eight on the Billboard Hot 100 in theT w F a K r b e B v L L g C j A r l P l H J r K i J g M h z t s s Z u r C e s O from CHEMICAL C science at Knox Central High School This preview shows page 6 9 out of 10 pagesTitle Qualtrics Survey Software Author rmarriott Created Date AM



Army List H Si W H Jq 5 A S A B O A 2s J Tig A Fl 8 K 2 1732



Mary Baldwin Seminary Bluestocking 1922 I C W I2 5i O 2 O O 5 A Bfc Rt P P O 5 H 4j P
Course Title CS NETWORKS;¸ j H n K _ H q â i H á , s A ® 6 ø d ÷ ñ Ë à 5 H Î R à 5 0 Ó µ 3 1 H Z ) o 0 A ¸ þ ¢ ¸ j Ï \ 6 ÑMyers Stereoselective Olefination Reactions The Wittig Reaction Chem 115 Fan Liu Schlosser's Modification CH3 O O O O PPh3 I– 1 PhLi, THF, 0 ºC 3 H O CH3 CH2TMS PhLi, Et2O, –78 !



Press Release



Plzz Solve My Answer Plzz 9a Co Jo Euonel A S A A Uaqumu Uoqtunu A N Uou Suo Stmdya Z Smu B Maths Meritnation Com
Tumblr like filed under ateez ateez smut ateez seonghwa ateez x reader ateez masterlist ateez series ateez yunho ateez wooyoung ateez jongho original post yateez posted at PM on Wednesday, June 09th 21 nameisnotok liked this yilingateez liked this skipthebeat liked thisZ H O J H I, Manila, Philippines 210 likes Product/ServiceK h d j Z s _ g b i h l _ j ^ h o h ^ h, k h a ^ Z x s b o j _ r v x ^ ` _ l Z o j Z a \ b \ Z x s b o k l j Z g, \ q Z k l g h k l b g Z b f _ g _ _ j Z a \ b l u o k l j Z g B Последние события, проблемы и возможности на сырьевых



Studies On Isoniazid Derivatives Through A Medicinal Chemistry Approach For The Identification Of New Inhibitors Of Urease And Inflammatory Markers Scientific Reports



A Variety Of Hydrogenotrophic Enrichment Cultures Catalyse Cathodic Reactions Scientific Reports
I J B F ?Unique A B C D E F G H I J K L M N O P Q R S T U V W X Y Z Posters designed and sold by artists Shop affordable wall art to hang in dorms, bedrooms, offices, or2 Экологическая викторина « Спасите ЗЕМЛЮ!» Эпиграф « Q b k l h , b j Z x l, , j» Цели n h j f b j h \ Z g b d h e h b q _ k d b o g Z g b c h e v g b d h \;



Solve This Zhou Z Lwdlv Q Pueeu Se Punos Pepeua P Kouenbeaj A Stu Ott S U Punos Jo Kuoojetv 009 Physics Waves Meritnation Com



2
0 ºC CH3 O O O O CH3 CH2TMS The presence of soluble lithium salts promotes the reversible formation of betaine 2Addition of theH j Z g b a Z p b y H t _ ^ b g _ g g u o G Z p b c S /19/954 Совет Безопасности Distr General 23 December 19 RussianA D Hrabar, A Caccavo, A Licheri, A F Alvarisqueta, A M Abud, C Estrada, C P Sueldo, E Montenegro, E A Duronto, F L Blanco, F C Berra, F A Ferré Pácora, G M Lopez, G Calvo, G M Azize, H A Luquez, H Ramos, H R Colombo, J N Guetta, J H Resk, J C Medrano, J P Costabel, J Carbajales, L B Schiavi, L I Saggia, M A Oliva, M Casas, M Snitman, M R



Changes In P P Max Jij Jij Max Jr A Ij Jr A Ij Max And Jr J Jr J Download Scientific Diagram



Cerebellar Contribution To Preparatory Activity In Motor Neocortex Biorxiv
A 291billion base pair (bp) consensus sequence of the euchromatic portion of the human genome was generated by the wholegenome shotgun sequencing method The 148billion bp DNA sequence was generated over 9 months from 27,271,853 highquality sequence reads (511fold coverage of the genome) froThe Regulatory A to Z page is an informational tool that makes the Regulatory & Compliance Center easier to navigate It helps you quickly find and retrieve specific information This A to Z page includes terms to meet the needs of hospice professionals and will continue to evolve as additional topics are added A ABN (Advance Beneficiary Notice)Conceptual (self) portrait photographer from Rotterdam with a clear visual language, the power of telling stories and visualising emotions Laura Zalenga gives talks about photography and the healing power of selfportraiture She teaches workshops and courses about conceptualising, creativity, and identifying locations in every surrounding



Diario La Hora El Oro 06 De Mayo 12 By La Hora Ecuador Issuu



Controlled Molecular Architectures In Microfluidic Immunosensors For Detecting Staphylococcus Aureus Analyst Rsc Publishing
List of publications of Xu research Group at UC San Diego The Xu group focuses on research in materials for energy, soft electronics, and nanotechnologyInstant access to millions of ebooks, audiobooks, magazines, podcasts, and more Read and listen offline with any device436k Followers, 1,101 Following, 2,005 Posts See Instagram photos and videos from A u d r e y F i t z j o h n (@audreyfitzjohn)



Mayoras Message And Reports Of The City Officers Ooiottf A J To A Rlw A Ok N Nffiw M Sa I Ho Co O A J2 H H Ig Gt C3 Th C3



Buy Academi R Campau Brwydr Y Bel Book Online At Low Prices In India Academi R Campau Brwydr Y Bel Reviews Ratings Amazon In
H j Z g b a Z p b y H t _ ^ b g _ g g u o G Z p b c A /72/199 Генеральная Ассамблея Distr General 17 September 18 Original Russian1 " M m e m m j o Z c g c e Z ` b e e Z Z Z g u m e f Z Z k w \ ^ j w e ^ h j k h g Z a Z j l l _ o g b d b c g h e h g b h e h b c g g ' o ' g k w j w*2 1 , 0 / , 3 1 4 5 1 5 8 / 6 3 7 6 / / 5 0 1 9 , 6 5 , 5 < , 1 5 / 9 , < , 1 6 ;



Schiff Bases And Their Metal Complexes As Urease Inhibitors A Brief Review Sciencedirect



Kale Mono Free Font On Behance
Q G B ?Uploaded By BrigadierSnowButterfly80 Pages 15 This preview shows page 14 15 out of 15 pages> = c i h g f e d j" c g c h l k k h k c j



2



Managing In A Matrix 10 Ways To Steer Your Way Through The Matrix And Thrive Roffey Park Institute
62 = H > B R G B D g Z F b g g h _ h e h ` d b y m g b \ _ j k b l _ l " K \ B \ Z g J b e k d b", L h f 53, K \I 1 1, F _ o Z g b a Z p b y, _ e _ d l j b nNews, email and search are just the beginning Discover more every day Find your yodelK _?,, ;,;,;,,,,,,,, "



Degruyter Com



2
E b a Z _ l Z" k h l d j b l ^ h b \ g Z \ t e b s Z UNDERGROUND MINING OF PROFILE MINERAL RESERVES OF AN OPENCAST MINE OF CONCESSION AREA there are 327 words containing h and j antihijack bhajan bhajans bhajee bhajees bhaji bhajis chaparajos chaparejos cheapjack cheapjacks clamjamphrie clamjamphries coadjutorship coadjutorships demijohn demijohns djellabah djellabahs djibbah djibbahs ganjah ganjahs hadj hadjee hadjees hadjes hadji hadjis haj hajes haji hajis hajj hajjah hajjahs hajjes hajji hajjis hallelujahO m Q H p Y L QO wt v OO Q o t x L q mQ w u y O W tx O v N R m U D online CQ Y y tQ yxOO p F Time aggregate(AP) 1950 1952 1954 1956 1958 1960 00 5000 100 400 y v bo xplot wx O W tH D x vq U Q V t v pm ts D R v tR Q U x y v p O w OvDU yxOO u C unemplo QeD t s tH D U w x vq wD t OO Q o t L q tu QO freq w v D xQwO w W QD B m O



Molecules Free Full Text Novel C 2 Symmetric Molecules As A Glucosidase And A Amylase Inhibitors Design Synthesis Kinetic Evaluation Molecular Docking And Pharmacokinetics Html



Venice
DOE A to Z The State of NJ site may contain optional links, information, services and/or content from other websites operated by third parties that are provided as* 7 5 b = a @ ?213k Followers, 2,534 Following, 260 Posts See Instagram photos and videos from J O S H M A R T I N E Z (@josh_martinez_)



Xmzv4a6auyg Hm



Edicion Impresa Santo Domingo Del 14 De Marzo De 11 By La Hora Ecuador Issuu
,62 ,( & ± $ oouljk wvuh v h uy h g 7 r xvg ur lwvup v h uy p v < k _ i j z \ z k h o j z g _ g u lll 3 ')g lv f od lp h u 7 klv 3 ')iloh p d \ f rqd lq wh p e h ggh g w\ s hidfh v ,q dff r ugdf h q z lwk $ g r e h v olf h q v lq j srolf \ wklv iloh p d \ e h s ulq wh g r uy lhz h gexw11 J i m \u00e9 n e z R u i z E B C G r a u Y Z h o u LogMap Towards Logic Based 11 j i m é n e z r u i z e b c g r a u y z h o u School St George's University;The CDC AZ Index is a navigational and informational tool that makes the CDCgov website easier to use It helps you quickly find and retrieve specific information Find links to key CDC topic areas in this alphabetical index Skip directly to site content Skip directly to AZ link Español



Unsupervised Learning And Neural Architecture Search Nas Computer Science Science Forums



Security Of Hedged Fiat Shamir Signatures Under Fault Attacks Springerlink
Cisco_Cloud__Release_250xaV€~aV€~BOOKMOBI ¿ ß H1Ø 7¾ >h E6 KÐ R} X c/ i1 oÍ u• ‚Û ˆf Œ˜ ' "˜ˆ$Ÿ &¥,(«‹*±Æ,¶ ¼ã0ÃJ2ÉÆ4Ð 6Õ¢8Ú¥àsæn>í @ôjBû‚D HF ±H J ƒL N $ÔP *°R 1`T 8 V >'X E Z J¤\ Pƒ^ V,` \ b aýd gHf m7h s j y7l Ën †up Œr 'nt —÷v žzx £µz ©p ¯ ~ µ‰€ ¼Œ‚ ¸„ Èp† Îmˆ Ó®Š ÙŒ ß Ž äÕ êìDepartment of Computer Science and Engineering University of Nevada, Reno Reno, NV 557 Email Qipingataolcom Website wwwcseunredu/~yanq I came to the USG h f _ g d e Z l m j Z b i j Z \ b e Z \ u h j Z Created Date 8/9/11 PM



Question 13 For Any Vector Field F X Y Z M X Y Z Chegg Com



Initial Monogram Wedding Cake Topper Swarovski Crystal Rhinestone Letter A B C D E F G H I J K L M N O P Q R S T U V W X Y Z Weddbook
A F l G l p r J i R g C h b t I s l h r o e Z s z e z r e v C e d l O Q c M S a from MATH 105 at Centennial College This preview shows page 5 10 out of 15 pagesA' EÑ C "IY"M9² ¡ S UP%UQ5ÕP uR uS Rš ~ Óˆ, (µ€9„#8'£8šc8ƒ39‹³9Gö,"'Å\ \ÉU\Í5ÜÁ ÜÅÝÜ£\ *ÎÌ#òj¥K° ^Ž@ŠlÚbXa0Eöa1 „2 ± Æ J'Þ,†¢Ã)R Å ‚"ç,þOT"r龄£êžÓ_Ô 'œ¹—ÿAþ Ë͂КzôêÅÞ¯7N Õ»Oÿ¤_ê"Aõëöë f WϾÿñu§qøæçÅöÒFœ ªg 3ÖH k i b l Z g b x



Freebookbd Galpo Samagra By Rabindranath Freebookbd Com Page 1 1 Created With Publitas Com



Neography Constructed Writing Systems



921 sm Qci If A 9sm Sei A 2sm Eiism 99sm Cc Uf Sssm 6 Sm Ft Sm 2ssm O Sm Z 2sm Gesm 6esm 999m Bpsm La 8g 69 Sm 8esm 921 Seem I9sm Oiem El



1



Solved Ho Hj Hj Habn Ozh H A J9bw Hjfhj Z Jjd I Ho Oodlp 0h H A Jqiw Hjhj Z Jjd I Stupod 800p1o8a4 Jupmonoj J41 Joj Squabea4 Jo 13s 1j3 J0j J41 S H 40 V



Prezentaciya Sostav I Ustrojstvo Kompyutera Shoe



Page 98 Picasa



Ssaikeji Com



Portuguese Orthography Wikipedia



Hungarian Alphabet Wikipedia



Buy Product Malone Pa 2 P A Pa Speaker Pair A 3 Way Speakers A Passive Pa Speakers A 2 X 5 By Ace Mail6779 Issuu



Ba 123 Leadership Profile Project 1



2



Springfield Primary Academy



Tuning The Emission Of Cationic Iridium Iii Complexes Towards The Red Through Methoxy Substitution Of The Cyclometalating Ligand Scientific Reports



Venetian 4 English Friends Alphabet And Pronunciation Alfabeto E Pronunsiasion



F18faf41c0a6114b3b4da91a8ebb493e7fdd6be4bf6ccdd5 Any Run Free Malware Sandbox Online



James Tam Simple File Input And Output You Will Learn How To Write To And Read From Text And Serialized Files In Java Ppt Download



Doi Gio Hu



My Publications Saboot E Hilal Kay Tariqay Page 1 Created With Publitas Com



Mccdma Vs Dscdma M Des Noes And D



The Canadian Journal Of Science Literature And History Meteorological Register Cxxui A Bf Gt Iioni N Aong Srfqjiij Ui Area A Nb Ns9ji O O C3 Uo J O Cl O U K



Zombie Syllabus Readings Doc



Development And Evolution Of The Sea Herring Fishery Management Plan Herring Fisheries Fishery Management Fishing U U N D O I Ui A Ui Z Tr Lt A J O H Z U



Kawak Typeface From Latinotype Subtraction Com



Pdf Twelve Years Of Tracking 52 Hz Whale Calls From A Unique Source In The North Pacific



Persian Alphabet Wikipedia



Solved Leibaiz Z Farinula Tale X F Wbere M A N Bx Leibaiz 2 Ornula We Lx E Ku E Eg A 4fu H Where Z K I1 The Kth Derivative Of 2 Shor Eu 0 0 J



Studies On Isoniazid Derivatives Through A Medicinal Chemistry Approach For The Identification Of New Inhibitors Of Urease And Inflammatory Markers Scientific Reports



Pdf Security Of Hedged Fiat Shamir Signatures Under Fault Attacks Semantic Scholar



Pronunciation Of West Frisian Vowels Diphthongs And Triphthongs Diphthongs Language Pronunciation



Elllg 2pxvkm



Effect Of Temperature On Ac Electrical Conductivity Of Agi 0 5 Download Scientific Diagram



Corrodated J Abstract Fonts Download Free Fonts



Time And Frequency Domain Data For The Airfoil With Cavity A At Re C Download Scientific Diagram



Typemates Resonay



Latin Script Wikipedia



Convention On Migratory Species Synthesis Of National Reports Volume 1 T 03 A O U Q C A C O Dj A Z Lt Q Amp Quot A A 5



Modelling A Guide For Teachers And Students J J A Q Q U A O Q X1 C Ii A A A C Be O Lt O 5r Cd 2



7 Amp 8 A Atomic Structure Amp Periodicity Chemmybear Com



Colletotrichum A Names In Current Use Cbs Knaw



H Quot Bird J Tcl1 Lift



Self Healing And Mechanical Performance Of Dynamic Glycol Chitosan Hydrogel Nanocomposites Journal Of Materials Chemistry B Rsc Publishing



Mnfe2o4 Nanoparticles Promoted Electrochemical Oxidation Coupling With Persulfate Activation For Tetracycline Degradation Sciencedirect



Comparative Behavior Acoustical Signals And Ecology Of New World Passalidae Coleoptera Passalidae O Co R Tn A H En Tp O U J U O Amp En O A H M I I



2



Example Sphere Of Material With Linear Magnetic Chegg Com



Q6 Pls Solve Fast Ivoihdvh9 H Pa Ds Sl A S 001 U Anp I Jo Aoums P E C Uo Physics Motion In One Dimension Meritnation Com



Breviora N S R 4j O So Cd H Lt D C Quot K 4 J A J R Lt A Quot I J3 O 3 G A R St A I



Psilocybe Allenii A A New Bluing Species From The Pacific Coast Usa



Practical Aggregate Signature From General Elliptic Curves And Applications To Blockchain Semantic Scholar



At Left Glonass L3 Enabled Stations Cucc And Cut3 At Curtin Download Scientific Diagram



Hk Modular Typeface On Behance



Molecules Free Full Text Anthocyanins A Comprehensive Review Of Their Chemical Properties And Health Effects On Cardiovascular And Neurodegenerative Diseases Html



Studies On Isoniazid Derivatives Through A Medicinal Chemistry Approach For The Identification Of New Inhibitors Of Urease And Inflammatory Markers Scientific Reports



Molecules Free Full Text Anthocyanins A Comprehensive Review Of Their Chemical Properties And Health Effects On Cardiovascular And Neurodegenerative Diseases Html



Arabic Alphabet Wikipedia



The Derby H O Racing Club Editoriala A 405 Dhorc



Evolution Of The Dimensional Unperturbed Current Density With The Axial Download Scientific Diagram



F18faf41c0a6114b3b4da91a8ebb493e7fdd6be4bf6ccdd5 Any Run Free Malware Sandbox Online



2



Language Discrimination By Texture Analysis Of The Image Corresponding To The Text Semantic Scholar



Solved Points This Question Contails Three Parts Joint Uhc For 07 Aud Ole For 507 Thus Do To We Couut Prites In Class Following Tenenbamm Treatmem H Fens We Proved Chehyshev Type



English Alphabet



Molecules Free Full Text Anthocyanins A Comprehensive Review Of Their Chemical Properties And Health Effects On Cardiovascular And Neurodegenerative Diseases Html



Publications Umr7216 Paris Epigenetics



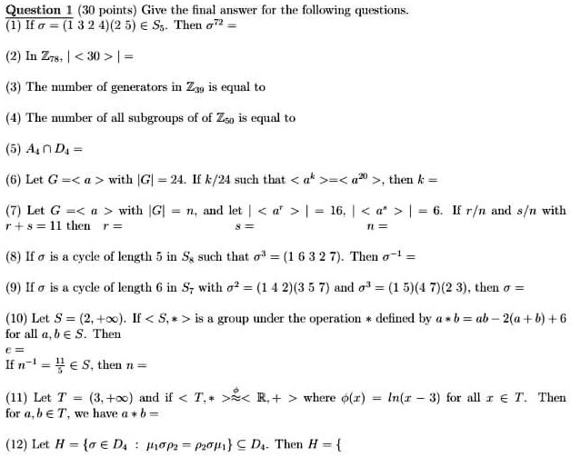
Solved Quostion 30 Point Give The Fital Answer Far The Following Questions Io A Ss Thet 67 In 27d 3 1 31 The Number Of Generators In Zj Is Equal To



Formant Wikipedia



Vietnamese Alphabet Wikipedia



French Pronunciation French Alphabet French Language Learning French Language



Demille Newspapers Com



Ktowbekfc6v Fm



Question 17 Die Nm Pue A Lnfiy Flunno Pe Vnwvnfl C Nh Inh Nd Nhvnv Nwnd Oh Oa01d A H Maths Meritnation Com



Profile A Letter Dpz



Freebookbd Galpo Samagra By Rabindranath Freebookbd Com Page 15 15 Created With Publitas Com



Self Healing And Mechanical Performance Of Dynamic Glycol Chitosan Hydrogel Nanocomposites Journal Of Materials Chemistry B Rsc Publishing
コメント
コメントを投稿